문제 설명
2차원 행렬 arr1과 arr2를 입력받아, arr1에 arr2를 곱한 결과를 반환하는 함수, solution을 완성해주세요.
제한 조건
- 행렬 arr1, arr2의 행과 열의 길이는 2 이상 100 이하입니다.
- 행렬 arr1, arr2의 원소는 -10 이상 20 이하인 자연수입니다.
- 곱할 수 있는 배열만 주어집니다.
입출력 예
| arr1 | arr2 | return |
| [[1, 4], [3, 2], [4, 1]] | [[3, 3], [3, 3]] | [[15, 15], [15, 15], [15, 15]] |
| [[2, 3, 2], [4, 2, 4], [3, 1, 4]] | [[5, 4, 3], [2, 4, 1], [3, 1, 1]] | [[22, 22, 11], [36, 28, 18], [29, 20, 14]] |
코드
class Solution {
fun solution(arr1: Array<IntArray>, arr2: Array<IntArray>): MutableList<MutableList<Int>> {
val answer = MutableList<MutableList<Int>>(arr1.size,{MutableList<Int>(arr2[0].size,{i->0})})
var sum = 0
val a1_col = arr1[0].size
val a2_col = arr2[0].size
val a1_row = arr1.size
val a2_row = arr2.size
for (i in 0 until a1_row) {
for (j in 0 until a2_col) {
sum = 0;
for (k in 0 until a1_col) {
sum += arr1[i][k] * arr2[k][j];
}
answer[i][j] = sum;
}
}
return answer
}
}
풀이

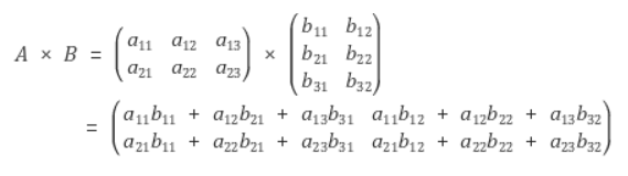
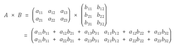
행렬 곱 계산법을 알면 쉽게 풀 수 있는 문제이다.
두 수를 곱하고 그것을 더해주는 연산이 필요하기 때문에 3중 for문을 이용해 해결할 수 있다.
결과

안정적으로 통과한 것을 볼 수 있다.
'PS > programmers' 카테고리의 다른 글
| [programmers] [Kotlin] 신규 아이디 추천 (0) | 2023.09.01 |
|---|---|
| [programmers] [Kotlin] 키패드 누르기 (0) | 2023.08.31 |
| [programmers] [Kotlin] 과일 장수 (0) | 2023.08.29 |
| [programmers] [Kotlin] 푸드 파이트 대회 (0) | 2023.08.28 |
| [programmers] [Kotlin] 최대공약수와 최소공배수 (0) | 2023.08.25 |